您好,欢迎访问河南专升本,我们将竭诚为您服务
专升本院校
考试大纲
招生政策
专升本院校
考试大纲
招生政策
招生计划
分数线
报考条件
专升本问答
考试科目
考试时间
准考证
成绩查询
志愿填报
网站首页
专升本院校
考试大纲
招生政策
招生计划
分数线
报考条件
专升本问答
考试科目
考试时间
准考证
成绩查询
志愿填报
当前位置:
首页
>>
专升本问答
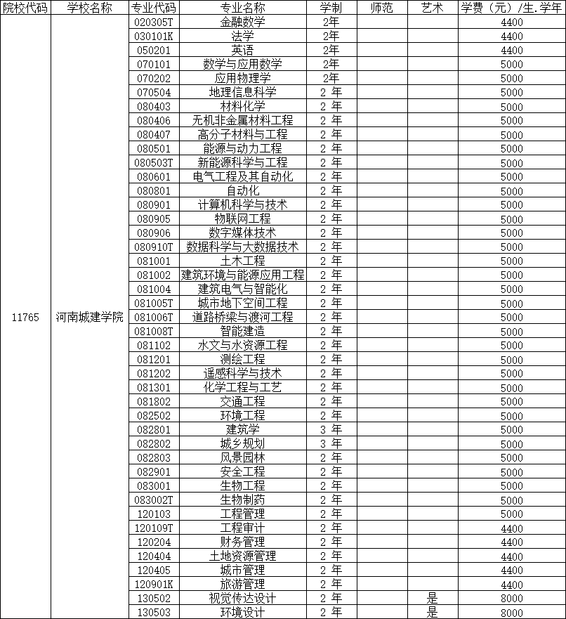
2025年河南城建学院专升本专业学费
2025-03-14
分类:
专升本问答
阅读:105
上一篇:
河南经贸职业学院专升本诚信考试温馨提醒
下一篇:
2025年南阳师范学院专升本专业学费
相关推荐
2025年河南专升本考公办院校难吗···
2024-12-06
河南专升本挂科、补考会有影响吗···
2025-11-20
哪些专业推荐专升本?
2025-11-20
河南专升本英语科目学习方法
2025-11-20
2026年河南专升本大学语文学习方···
2025-11-20
安阳工学院专升本
2024-09-03
信阳学院专升本
2024-09-03
河南科技职业大学专升本
2024-09-03
郑州师范学院专升本
2024-09-03
郑州航空工业管理学院专升本
2024-09-03
2026专升本英语基础急救
最新更新
河南专升本挂科、补考会有影响吗?
哪些专业推荐专升本?
河南专升本英语科目学习方法
2026年河南专升本大学语文学习方法
河南专升本如何填报学校志愿?
2026河南专升本经济学科目专业对照及考试课程
2026河南专升本法学基础科目专业对照及考试课程
2026河南专升本考试大纲有吗
2026河南专升本教育学心理学科目专业对照及考试课程
河南专升本各院校学费及住宿费整理
推荐阅读
2026年河南专升本有哪些招生专业仅有一所院校?
统招专升本属于国家统一招生吗
2025年河南汽车智能技术专升本可以报考哪些专业
河南专升本志愿填报规则是什么?平行志愿可填报几个?
2026河南专升本报名时间及考试时间
河南专升本公办院校招生数据
河科大有美术专升本吗
河南专升本复合材料智能制造技术专业能报考哪些院校和专业
河南专升本院校的录取分数线是如何划定的?
2026年河南专升本招生院校名单预测到底有哪些?
APP下载
升本咨询
报考查询
返回顶部