您好,欢迎访问河南专升本,我们将竭诚为您服务

2023年河南省退役大学生士兵专升本(管理学类)综合考查成绩公示

2024-09-03分类:成绩查询 阅读:131

  根据河南省教育厅、河南省教育考试院要求,依据通过审核并公示的《2023年河南省退役大学生士兵专升本(管理学类)综合考查工作方案》,我校作为管理学类牵头高校已完成考查工作,现将考查结果进行公示,请点击附件查询。

      附件:公示表0409.pdf (688.44 K)

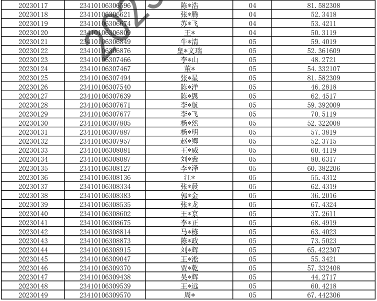
河南省退役大学生士兵专升本(管理学类)综合考查成绩

河南省退役大学生士兵专升本(管理学类)综合考查成绩

河南省退役大学生士兵专升本(管理学类)综合考查成绩

河南省退役大学生士兵专升本(管理学类)综合考查成绩

上一篇:河南省退役大学生士兵2023年专升本经济学类综合考查成绩名单

下一篇:2023年河南省退役大学生士兵专升本经济学类考查成绩公示

相关推荐

2026专升本英语基础急救

    2023年河南省退役大学生士兵专升本(管理学类)综合考查成绩公示-成绩查询-河南专升本考试网-河南专升本院校|统招专升本考试大纲
APP下载
APP
升本咨询
企业微信
报考查询
小程序
返回顶部